Úvod › Média › Tiskové zprávy › 2026 › Informace pro veřejnost - vodojem Kozinec
29. duben 2026

Níže zveřejňujeme aktuální informace k situaci:

Současně doplňujeme informace k dotazům na ovlivnění změkčovačů: standardním způsobem jako funguje změkčování, se na pryskyřici dané látky nevážou. Nicméně pryskyřice je organická látka, podobně jako ta rozpouštědla proto se na ni mohou tyto látky částečně nasorbovat. Funkci iontové výměny to nijak neovlivní. Navíc výměna vápníku a hořčíku za sodík se děje v desítkách miligramů. Koncentrace znečištění byla řádově nižší. K dalšímu ovlivnění funkce změkčovače tak nedošlo a nedojde. Zpětné vyplavování z ionexu bude minimální a obdobné jako z vlastních polyetylénových rozvodů vody.




Ve čtvrtek 12.3. byla prováděna údržba vodojemu Kozinec (malý). Při pravidelné údržbě vodojemu byl proveden nátěr podlahy v armaturní komoře. Použitá barva Izoban (používá se například pro nátěry bazénů) není určena pro kontakt s pitnou vodou, proto ji používáme pouze v armaturních prostorách, kde k takovému kontaktu nedochází.
Akumulační nádrž s pitnou vodou je od armaturní komory stavebně oddělena a vstup do ní byl po celou dobu prací uzavřen. Přesto tentokrát došlo ke kontaminaci vody výpary z nátěru. Důvodem byl pokles hladiny vody v nádrži v době, kdy byla v armaturní komoře zvýšená koncentrace výparů – ty pronikly do prostoru nad volnou hladinou a rozpustily se v pitné vodě. Nádrž nelze uzavřít hermeticky, protože se hladina vody průběžně mění.
Od zjištění problému probíhá nepřetržité odkalování celého vodovodního systému a vodojemu – od pátku přes noc na sobotu a dále v průběhu soboty. Nově přiváděná voda do systému je v pořádku. Odkalit lze vodojem a rozvodnou síť, nikoli však přípojky k bytovým domům. Ty jsou relativně dlouhé a velkoprofilové, takže kontaminovaná voda v nich může způsobovat zbytkový zápach až do jejich proplachnutí. Odkalování proto nadále pokračuje.
V lokalitě jsou přistaveny cisterny s náhradní pitnou vodou. Zůstanou na místě do doby, než bude potvrzena vyhovující kvalita vody v síti.
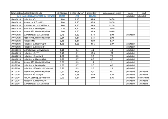
V pondělí budou odebrány vzorky vody k laboratorní analýze. Výsledky budou neprodleně zveřejněny.
Omlouváme se za vzniklé komplikace.
Středočeské vodárny a.s.
Rezervujte si termín schůzky v zákaznických centrech SVAS
Potřebujete zjistit polohu vodárenských sítí nebo získat technické vyjádření k Vašemu stavebnímu záměru? Využijte Portál vyjadřování a objednávek.
Cena vody v roce 2024-2026
Technické standardy